電線管サイズ選定の計算根拠について|内線規程に基づく占有率と許容電流の算出ロジック

計算ロジック


1. はじめに

現場で電線管のサイズを選ぶ際、なんとなくの経験で決めていませんか?本記事では、電線管のサイズ選定方法や、当サイトの『電線管サイズ選定・占有率・許容電流計算ツール』がどのような計算基準(内線規程)に基づいているのか、その裏側にある数式とルールを解説します。

2. 電線管の占有率に関する計算根拠

電線管の太さを決める最大の要因は「電線断面積の総和」が「管の内断面積」に対してどれくらいの割合を占めるかです。

適用ルール

  • 原則: 内線規程 3102-3表に基づき、同一管内に3本以上の電線を収容する場合は32%以下としています。
  • 緩和条件: 屈曲が少なく、かつ電線の種類が同一である場合などは、特例として48%まで緩和して判定できるようツールに選択肢を設けています。

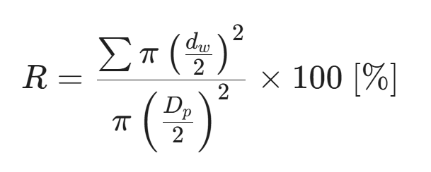
計算数式

管の断面積 ΣAp[mm2]に対する電線の総和断面積 Σ Aw[mm2]の占有率 R[%] は、以下の式で算出されます。

  • dw: 電線の仕上がり外径
  • Dp: 電線管の内径

【計算例:占有率】VE管にVVFを入れる場合

実際に「VVF 2.0mm-3C」を3本、VE管に収容するケースで考えてみます。

  1. 電線の断面積: VVF 2.0-3C(外径14.0mm)を円として計算すると、3本で 約462mm2
  2. 管の選定:
    • VE28(内径28mm):占有率 約75%NG(キツすぎて入りません)
    • VE42(内径42mm):占有率 約33%ほぼOK(緩和条件なら可)
    • VE54(内径54mm):占有率 約20%余裕でOK

3. 許容電流の減少係数について

電線には、太さごとに流せる電流の限界(許容電流)が決まっています。しかし、これは「風通しの良い場所に1本だけで置いた場合」の話です。

現場で電線管の中に数本の電線を詰め込むと、以下のような現象が起こります。

  1. 熱がこもる: 電線同士が密集するため、放熱できずに温度が上がります。
  2. お互いを温め合う: 隣の電線が発生させる熱の影響も受けます。

このため、電線管に収める場合は、本来の許容電流に「減少係数」というブレーキを掛けて、安全な電流値まで下げて計算する必要があります。

① 電線の「基本」を知る

まず、電線の種類と太さから、ベースとなる許容電流(1条敷設時)を特定します。

  • 例:VVF 2.0mm なら 35A(※周囲温度30℃の場合)

② 「入れすぎ」によるブレーキ(減少係数)

電線管に収容する本数(条数)に応じて、以下の係数を掛け合わせます。

  • 3本以下: 0.70(本来の70%まで)
  • 4本: 0.63(本来の63%まで)
  • 5〜6本: 0.56(本来の56%まで) ※本数が増えるほど、1本あたりに流せる電気は少なくなります。

③ 「多芯」による補正(必要な場合のみ)

3芯以上のケーブル(2PNCTやVCTなど)を使用する場合は、ケーブル内部での発熱を考慮した補正をさらにおこないます。

【計算例:減少係数】「VVF 2.0mm」を「3本」、管の中に収める

例えば、「VVF 2.0mm」を「3本」、管の中に収める場合

  35A(基本) × 0.7(減少係数) = 24.5A

このように、実際に使えるのは24.5Aまでとなります。当ツールはこの面倒な計算を、電線を選ぶだけで瞬時に算出します。

当ツールでは、内線規程に基づき、以下の係数を自動適用しています。
※7以上も記載してますが実際の施工時は、リスク・管理面なども考慮して、私(サイト管理人)は別の管を使用してます。

入線数(条数)電流減少係数
3以下0.70
40.63
5〜60.56
7~150.49
16~400.43
41~600.39
61以上0.34

4.計算ツールへ

電線管サイズ選定・占有率・許容電流計算ツール

こちらで電線管の選定や、許容電流の算出が簡単におこなえます!

5. まとめ(免責事項)

「当ツールは正確な計算を心がけていますが、実際の現場では配線距離や屈曲数、周囲温度によって条件が変化します。最終的な判断は必ず施工要領書や有資格者の確認のもとで行ってください。」

タイトルとURLをコピーしました